4 - Lei de Ampère
Quando um fio é percorrido por uma corrente elétrica existe um campo magnético ao redor desse fio. Essa descoberta foi realizada por Hans Cristian Oersted, que posteriormente seria deduzida matematicamente pelo físico francês André-Marie Ampère.
André-Marie Ampère (1775 – 1836) nasceu em Polemieux-Le-Mont-d'Or, próximo a Lyon, na França. Viveu no período da revolução francesa, que ocorreu em 1789.
Ampère é uma unidade de medida do sistema internacional de unidades que define a intensidade de corrente elétrica, e tem esse nome em homenagem ao seu criador.
Essa intensidade é dada por onde,
onde,
= Intensidade da corrente
= Quantidade de carga
= Intervalo de tempo
Através disso foi elaborada a lei de Ampère, sendo utilizada para calcular o campo magnético a partir de uma distribuição de densidade de corrente elétrica J ou de uma corrente elétrica I, ambas estacionarias.
A Lei de Ampère afirma que o sentido do campo magnético é determinado pelo sentido da corrente. Dessa forma, invertendo o sentido da corrente, invertemos também o sentido do campo.
Essa lei estabelece o campo magnético (
) gerado por um condutor retilíneo percorrido por uma corrente elétrica de intensidade i, a uma distância (R) do condutor, desde que a distribuição apresente um certo grau de simetria.
Para entender a formulação matemática da Lei de Ampère, imagine que o fio condutor percorrido pela corrente elétrica atravessa uma superfície delimitada por uma linha fechada (uma linha que não tem início nem fim). Ou seja, o fio condutor passa por dentro da região que tem essa linha por limite. Ao somarmos os produtos dos campos magnéticos representados em cada trecho da linha fechada (de suas projeções nessa linha) pelo comprimento de cada trecho, considerando toda a linha fechada, o resultado vai ser proporcional à quantidade de corrente elétrica que atravessa a superfície.
Matematicamente, o vetor campo magnético (
) é determinado pela seguinte equação:
![]()
Onde o termo μ é uma constante conhecida como permeabilidade magnética do vácuo. Por comodidade matemática, essa constante foi definida como:
![]()
Sendo esse um valor convencional, que pode ter seu número infinito de algarismos significativos por causa do valor de π, pode-se adotar para permeabilidade magnética do vácuo ou do ar o valor abaixo (quando expresso com dois algarismos significativos):
![]()
A direção e o sentido do vetor campo magnético são dados pela regra da mão direita, como exemplificado anteriormente e representado na figura abaixo, lembrando que o vetor é sempre tangente às circunferências imaginárias descritas em torno do condutor, em planos perpendiculares.
Quanto à regra da mão direita, a mesma pode ser aplicada utilizado o polegar da mão direita, que indica o sentido convencional da corrente elétrica; e os outros dedos, ao envolverem o condutor por onde passa a corrente, dão o sentido das linhas de campo magnético.

Neste caso, são utilizados os elementos de campo magnético e os elementos de caminho percorrido pelo circuito escolhido. A lei de Ampère tem a seguinte forma:
![]()
Note que podemos escrever esta mesma integral utilizando o termo B.ds em função da direção de B e da direção dos elementos de caminho ds e do ângulo θ entre estes dois vetores. Desta forma, teremos:

No caso de correntes inversas, ou seja, com uma das correntes entrando e outra saindo, teremos então como resultado:
![]()
Para realizamos esse calculo, é necessário que o mesmo seja realizado para uma curva fechada, denominada amperiana, como exemplificada por Halliday a seguir:


A figura 29-12 demonstra as seções retas de três fios longos, perpendiculares ao plano, percorridos pelas correntes i1, i2 e i3. Podemos observar também a curva amperiana envolvendo duas das correntes, tendo elas sentido anti-horário indicado na amperiana.
Com as equações anteriormente descritas podemos calcular para obter os valores de amperagem da corrente elétrica em modulo.
A explicação de como se chega à formulação matemática utilizada para a determinação da intensidade desses campos é complexa, utilizando idéias e conceitos apenas vistos em cursos superiores de física.
Por esse motivo, estudamos essa formulação matemática considerando apenas seus aspectos mais básicos, de maneira a termos uma idéia sobre o cálculo do campo magnético, e destacaremos a expressão final, para a resolução de exercícios.
De uma forma geral, podemos dizer que foi constatado, experimentalmente, que a intensidade do campo magnético é proporcional à corrente que atravessa um condutor associado a esse campo sendo inversamente proporcional à distância do ponto (onde consideramos o campo magnético) ao fio.
Então, quanto maior a intensidade da corrente elétrica, maior será a intensidade do campo magnético; e quanto maior a distância do ponto considerado em relação ao fio, menor será o valor do campo magnético.
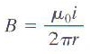
Os campos magnéticos podem ser calculados nas vizinhanças de um fio longo retilíneo percorrido por corrente e também no inteiro de um fio longo retilíneo.
Para o primeiro caso, podemos observar a figura a seguir:

Para isso utilizamos a fórmula simplificada, baseado na simetria do campo magnético:

Sendo ds a soma de todos os segmentos da reta ds da amperiana, obtemos simplesmente a circunferência 2πr da curva:
ou 
No caso do campo magnético no interior de um fio:

Calcularemos observando a distribuição uniforme, sendo a corrente envolvida proporcional a área envolvida pela curva, ou seja:

Por fim, temos a seguinte formula:
ou 
Para exemplificar, utilizaremos um exemplo retirado do livro Fundamentos da Fisica, Halliday, 8ª edição:
Exemplo:
A figura 29-16a mostra a seção reta de um cilindro longo condutor oco de raio interno a=2,0 cm e raio externo b=4.0 cm. O cilindro conduz uma corrente para fora do plano do papel, e o modulo da densidade de corrente na seção reta é dado por J= cr², com c=3.0 x 10^6 A/m^4 e r em metros. Qual é o campo magnético B(vetor) em um ponto situado a 3,0 cm de distancia do eixo central do cilindro?

O ponto no qual queremos determinar o campo B(vetor) está na parte sólida do cilindro entre o raio interno e o raio externo. Observamos que a corrente tem simetria cilindrica(é igual em todos os pontos situados á mesma distancia do eixo central). A simetria permite usar a lei de ampere para determinar o campo B(vetor) no ponto.Para começar, traçamos uma maperiana como a que aparece na Figura 26-16b. A curva é concentrica com o cilindro e tem uma raio r=3,0, porque estamos interessados em determinar o campo B(vetor) a essa distancia do eixo central do cilindro.
O passo seguinte é calcular a corrente i que é envolvida pela amperiana. Entretanto não podemos usar uma simples proporção, já que dessa vez a distribuição de corrente não é uniforme. Então devemos integrar o módulo da densidade de corrente entre o raio interno a do cilindro e o raio r da amperiana.

As figuras apresentadas neste blog e alguns textos foram retirados da referência: Halliday, D.; Resnik, R.; Walker, J., Fundamentos de Física, Vol. 3, 8 ed., Ed LTC, 2009, para uso exclusivamente didático e sem fins lucrativos.
Criado por: Fabiana Barbosa¹; Fernanda Borges¹; Francisco Ferreira Martins Neto¹; Lukas Rodrigues¹; Rafael Bailão¹; Rodrigo de Oliveira Balbino¹;
¹Acadêmico em Engenharia Ambiental; Universidade Tecnológica Federal do Paraná – Câmpus Campo Mourão-Paraná/Brasil