6 - Uma Bobina Percorrida por Corrente como um Dipolo Magnético
Ate o momento estudados o campo magnetico produzidos por correntes em um fio retilineo, em um solenóide e em um toróide. Agora estudaresmos o campo eletrico produzido por uma corrente eletrica em uma bobina.
Por causa da simetria da bobina nao sera possivel utilizar a Lei de Ampère, sendo assim temos q recorrer a Lei de Biot-Savart. Utilizando apenas uma espira circular sera mais facil calcular o campo apenas sobre o eixo central, chamaremos esse eixo de z.

Onde:
R = raio da espira
Z = distancia entre o ponto e o centro da espira
Sendo o sentido do campo magnetico
é o mesmo do momento magnetico da bobina.
A area da bobina é dada por
, e tendo N espiras, a equaçao pode ser generalizada por:

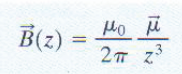
Como mostrado na figura abaixo os vetores,
e
sao paralelos, podemos reescrever a equaçao:

As figuras apresentadas neste blog e alguns textos foram retirados da referência: Halliday, D.; Resnik, R.; Walker, J., Fundamentos de Física, Vol. 3, 8 ed., Ed LTC, 2009, para uso exclusivamente didático e sem fins lucrativos.
Criado por: Fabiana Barbosa¹; Fernanda Borges¹; Francisco Ferreira Martins Neto¹; Lukas Rodrigues¹; Rafael de Oliveira Bailão¹; Rodrigo de Oliveira Balbino¹;
¹Acadêmico em Engenharia Ambiental; Universidade Tecnológica Federal do Paraná – Câmpus Campo Mourão-Paraná/Brasil